background image
[60]
SERVIZIO INDICATORI PERSONALI HEALTH SEARCH
Tabella 3.10b Area del dolore: indicatori di appropriatezza prescrittiva (anno 2007)
Figura 3.10b Area del dolore: indicatori di appropriatezza prescrittiva (anno 2007)
Tabella 3.10b Area del dolore: indicatori di appropriatezza prescrittiva (anno 2007)
Codice
Descrizione
Note metodologiche
Standard
LOMBALGIA2
Terapia con
paracetamolo
N. pazienti di età 18 con diagnosi di lombalgia
acuta o lombosciatalgia entro la fine dell'anno di
osservazione che hanno avuto per tale patologia
almeno una prescrizione di paracetamolo entro 30
giorni dalla diagnosi (Numeratore) / totale
pazienti di età 18 con diagnosi lombalgia acuta o
lombosciatalgia entro la fine dell'anno di
osservazione che hanno avuto per tale patologia
almeno una prescrizione entro 30 giorni dalla
diagnosi (Denominatore)
Ideale:
60%
LAP:
30%
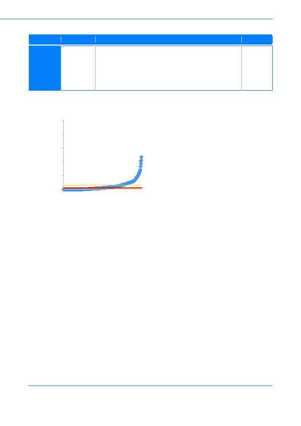
Figura 3.10b Area del dolore: indicatori di appropriatezza prescrittiva (anno 2007)
Mediana = 2,1 %
P25 = 0,0%; P75 = 6,3%
0%
20%
40%
60%
80%
100%
LOMBALGIA2
38
Sono stati utilizzati i seguenti codici ICD-9 CM per individuare la diagnosi di depressione primaria e secondaria: 311.x, 296.2x, 296.3x, 296.5x, 300.4x
LOMBALGIA2
Terapia con
paracetamolo
N. pazienti di età 18 con diagnosi di lombalgia acuta o lombosciatalgia
entro la fine dell'anno di osservazione che hanno avuto per tale patologia
almeno una prescrizione di paracetamolo entro 30 giorni dalla diagnosi
(Numeratore) / totale pazienti di età 18 con diagnosi lombalgia acuta
o lombosciatalgia entro la fine dell'anno di osservazione che hanno
avuto per tale patologia almeno una prescrizione entro 30 giorni dalla
diagnosi (Denominatore)
Ideale:
60%
LAP:
30%
CODICE
DESCRIZIONE
STANDARD
NOTE METODOLOGICHE