background image
[57]
SERVIZIO INDICATORI PERSONALI HEALTH SEARCH
Tabella 3.9b Area gastroenterologica: indicatori di appropriatezza prescrittiva (anno 2007)
Codice
Descrizione
Note metodologiche
Standard
PGI1
Prevenzione danno
GI in pazienti in
terapia con FANS
N. pazienti di età 18 con almeno un fattore di rischio
(età >60 anni, pregresso sanguinamento GI o ulcera
gastrica o duodenale, co-terapia con ASA-Warfarin-
cortisone) che hanno almeno una prescrizione di IPP
(inibitore di pompa protonica) e una prescrizione di
FANS nell'anno di osservazione (Numeratore) /
totale dei pazienti di età 18 con almeno un fattore di
rischio che hanno almeno una prescrizione di FANS
nell'anno di osservazione (Denominatore)
Ideale:
100%
LAP:
80%
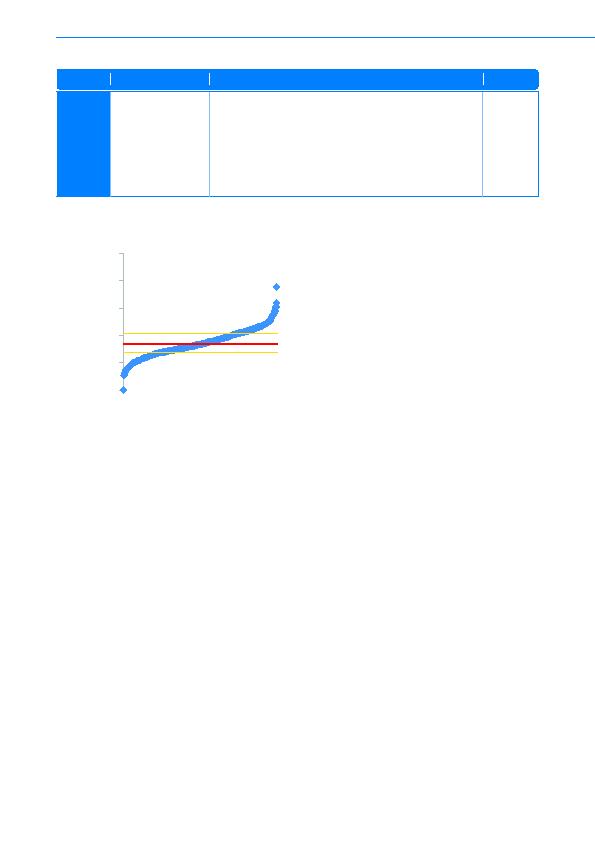
Figura 3.9b Area gastroenterologica: indicatori di appropriatezza prescrittiva (anno 2007)
Mediana = 33,5%
P25 = 27,8%; P75 = 41,8%
0%
20%
40%
60%
80%
100%
PGI1
Tabella 3.9b Area gastroenterologica: indicatori di appropriatezza prescrittiva (anno 2007)
Figura 3.9b Area gastroenterologica: indicatori di appropriatezza prescrittiva (anno 2007)
PGI1
Prevenzione danno
GI
in pazienti in
terapia
con FANS
N. pazienti di età 18 con almeno un fattore di rischio (età >60
anni, pregresso sanguinamento GI o ulcera gastrica o duodenale,
co-terapia con ASA-Warfarin-cortisone) che hanno almeno
una prescrizione di IPP (inibitore di pompa protonica) e una
prescrizione di FANS nell'anno di osservazione (Numeratore) /
totale dei pazienti di età 18 con almeno un fattore di rischio che
hanno almeno una prescrizione di FANS nell'anno di osservazione
(Denominatore)
Ideale:
100%
LAP:
80%
CODICE
DESCRIZIONE
STANDARD
NOTE METODOLOGICHE